Jednosta organizacyjna:
Wydział Budownictwa i Inżynierii Środowiska
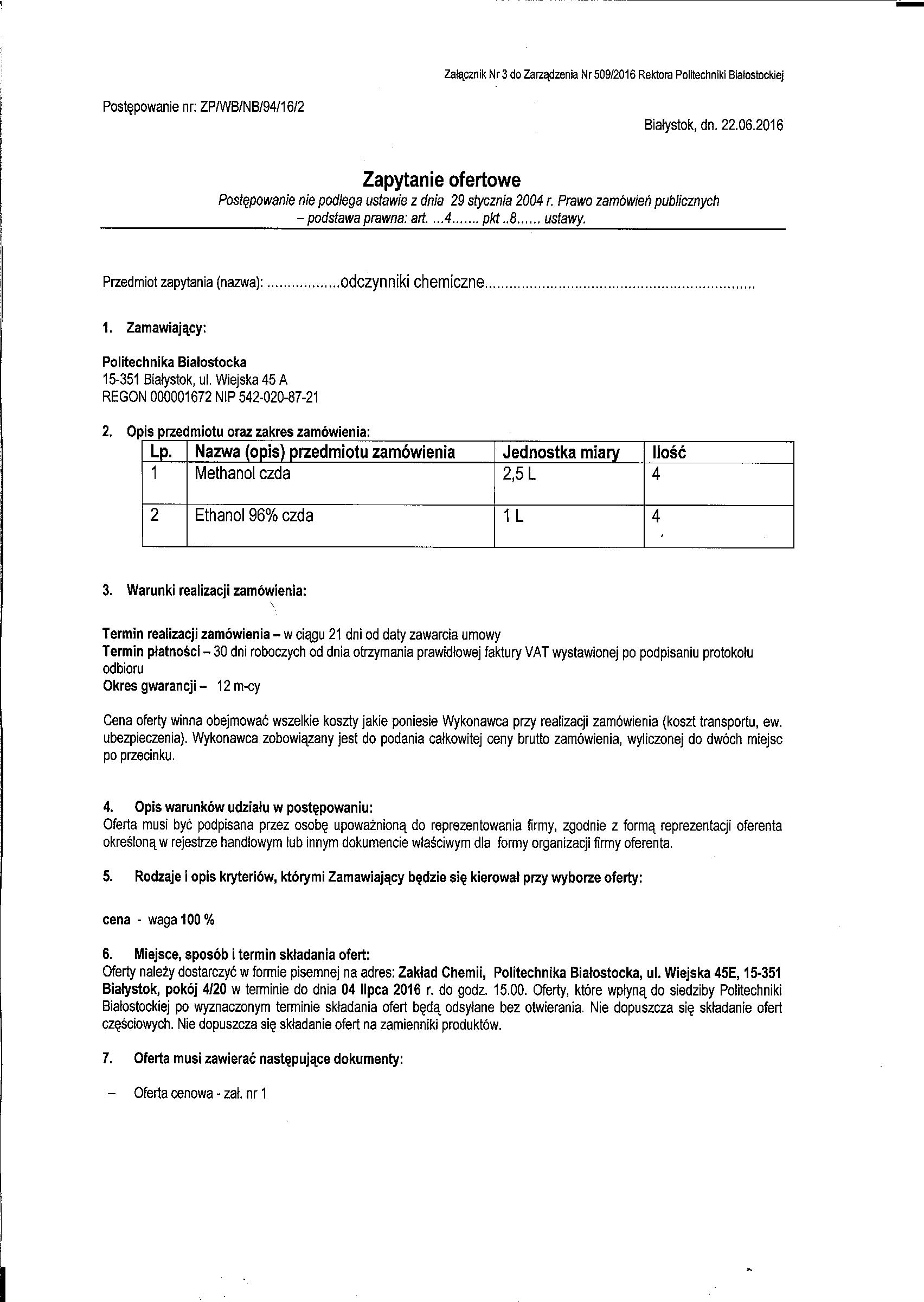
Znak sprawy:
ZP/WB/NB/94/16/2
Przedmiot zamówienia:
Odczynniki chemiczne
Ofertę należy złożyć do dnia:
2016-07-04
Załączniki:
Wybór najkorzystniejszej oferty
Informacja o wyborze:
