Jednosta organizacyjna:
Wydział Budownictwa i Inżynierii Środowiska
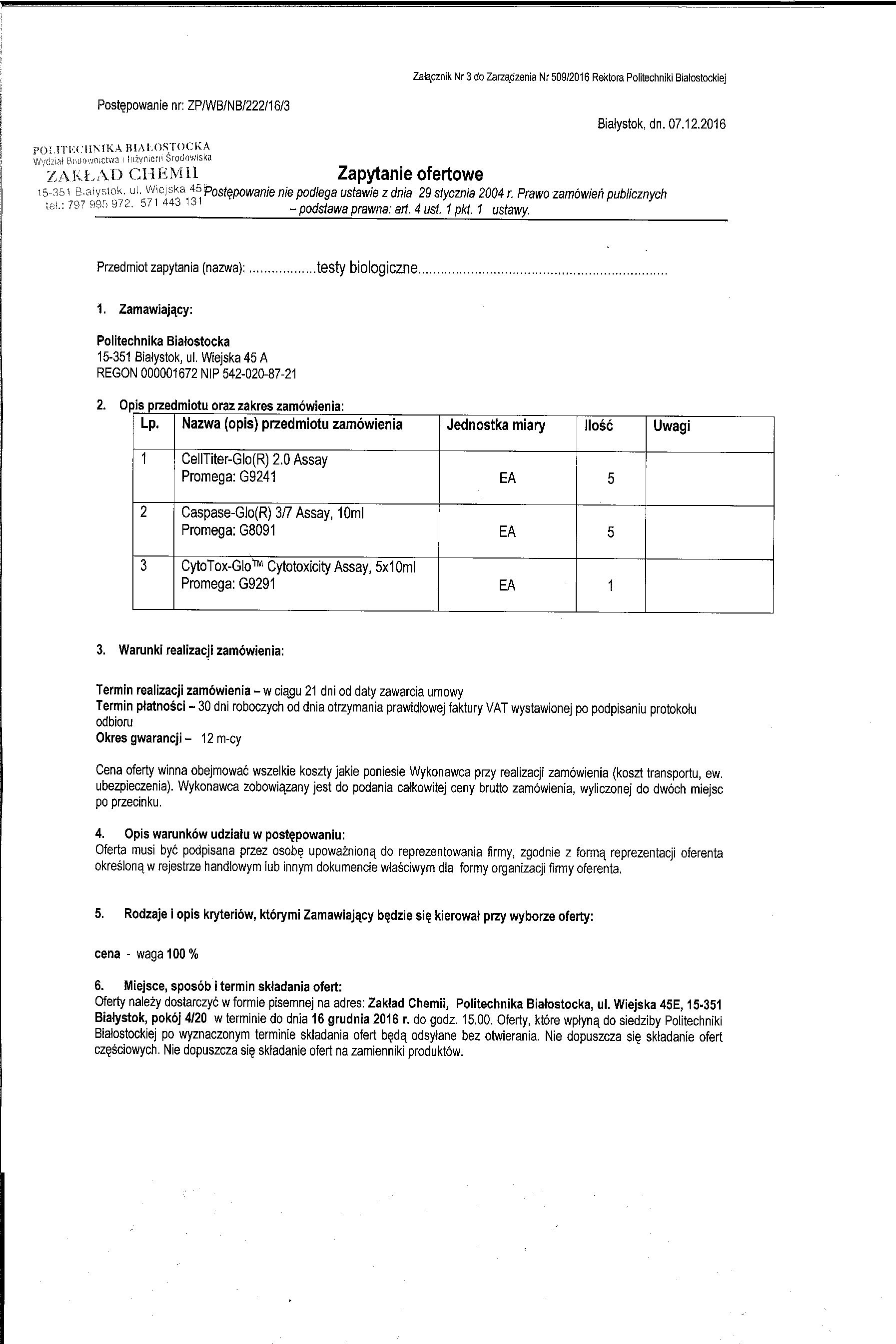
Znak sprawy:
ZP/WB/NB/222/16/3
Przedmiot zamówienia:
Testy biologiczne
Ofertę należy złożyć do dnia:
2016-12-16
Załączniki:
Wybór najkorzystniejszej oferty
Informacja o wyborze:
